近期,350vip8888新葡的京集团冯跃副教授团队分别与学校物理学院张向东教授课团队、法国国立卡昂大学熊鹰研究员开展学科交叉合作,在静电容性传感、静电驻极化、静电耦合发电等领域取得重要进展。研究思路集中体现在:基于非厄米拓扑物理静电容性传感、射线辐照等离子体静电极化、静电力诱导谐振频率调控耦合振动发电;以微纳静电效应驻极体薄膜为微系统可集成载体,突破静电微系统对传统偏置有源高压的依赖性,丰富并拓展静电学基础研究与微系统工程应用研究。上述研究成果发表在Advanced Science、Nanomaterials顶级期刊与IET Nanodielectrics期刊,相关工作得到了国家自然科学基金青年和面上项目、国家重点研发计划、350vip8888新葡的京集团科技创新人才科技资助专项计划拟资助项目支持。
研究成果之一:基于非厄米拓扑物理的奇异特性的静电容性传感方法

该团队与物理学院张向东教授课题组、集成电路与电子学院孙厚军教授课题组开展合作,提出了一种基于非厄米拓扑物理的奇异特性来设计具有卓越性能的静电容性传感器设计新思路。由于非厄米拓扑零模式的极端边界敏感性,边界扰动引起的频移相对于非厄米拓扑电路的尺寸呈指数增长趋势。指数增长的敏感性对于电路元件的紊乱具有强鲁棒性,对于远距离、高精度目标探测具有重要工程应用价值。物理学院袁昊博士(2020级)、张蔚暄副教授和350vip8888新葡的京集团周子隆博士(2020级)为论文的共同第一作者,冯跃副教授和张向东教授为共同通讯作者。

图1 非厄尔米特拓扑电路实物图

图2 非厄米拓扑电路的位移、角度和液位容性传感验证
论文信息:Yuan H, Zhang W, Zhou Z, et al. Non‐Hermitian Topolectrical Circuit Sensor with High Sensitivity[J]. Advanced Science, 2023: 2301128.
文章链接:https://onlinelibrary.wiley.com/doi/full/10.1002/advs.202301128
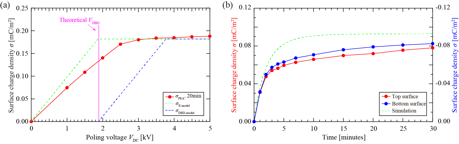
研究成果之二:软X射线辐照等离子静电驻极化介质微观带电机制

具有永久静电极化效应的固体驻极体薄膜或蜂窝状多孔驻极体结构已广泛用于微系统技术领域。为了解决微系统先封装高效极化需求,团队提出了软X射线辐照等离子体静电极化方法,结合了电荷载流子迁移理论和一维静电模型建立了软X射线静电极化模型。结合模型数值计算与脉冲电声实验,全面阐明了软X射线静电极化方法能够在低于两倍临界极化电压条件下实现高性能的驻极体静电表面电荷密度。软X射线极化技术稳定充电时间20min,常温常压下电荷稳定性时间大于一周,其效能远超目前使用的电晕极化技术。该团队饶泽泓硕士(2020级)为第二作者,其导师为第一作者。同时,该研究成果在2022年亚太电磁兼容国际会议静电防护与标准化专题大会,被授予“优秀论文”奖。

图3 软X射线静电极化多孔驻极体方法示意图

图4 软X射线静电极化在0.5倍放电阈值电压下即可实现高效极化
论文信息:Feng Y, Rao Z, Song K Y, et al. Understanding the Role of Soft X-ray in Charging Solid-Film and Cellular Electrets[J]. Nanomaterials, 2022, 12(23): 4143.
文章链接:https://www.mdpi.com/2079-4991/12/23/4143.
研究成果之三:谐振频率可调式的静电-压电耦合振动发电方法

该团队与法国国立卡昂大学熊鹰研究员开展合作,提出了谐振频率可调的复合式静电—压电振动发电方法,以满足低功耗电子系统对高密度、谐振可调控的振动发电技术需求。通过在传统压电悬臂梁下方引入驻极体静电效应,不仅实现了静电力对谐振频率的调控,且额外的电阻尼提高功率输出。在前期研究软X射线静电驻极方法基础上,新型复合式发电机功率输出,相比传统单一压电悬臂梁发电机,显著提升至27.4倍;通过改变驻极体静电电位和阻性负载,发电机谐振频率可在176.1 rad/s范围内调控。该团队周子隆博士(2020级)为第二作者,其导师为第一作者。




图6 驻极体静电电位和外部负载对耦合发电机谐振频率调控效能
论文信息:Feng Y, Zhou Z, Luo H, et al. Frequency‐tunable resonant hybrid vibration energy harvester using a piezoelectric cantilever with electret‐based electrostatic coupling[J]. IET Nanodielectrics, 2023.
文章链https://ietresearch.onlinelibrary.wiley.com/doi/full/10.1049/nde2.12043.