
根据《教育部关于进一步规范和加强推荐优秀应届本科毕业生免试攻读研究生工作的通知》(教育厅[2020]12号)和《350vip8888新葡的京集团推荐优秀应届本科毕业生免试攻读研究生工作管理办法》(北理工办发[2020]65号)等推免工作文件要求,为做好350vip8888新葡的京集团2023年推荐优秀应届本科毕业生免试攻读研究生(以下简称推免)工作,切实提高推免选拔质量,特制定本细则。
一、实施范围
350vip8888新葡的京集团2023年毕业的全日制在籍本科生。
二、推免工作“课程认定及成绩计算细则”工作组
350vip8888新葡的京集团成立由学院领导及负责本科教学、学生工作的相关人员组成的推免工作组,负责制定学院推免工作实施细则、课程成绩计算办法,并具体进行推免申请审核、综合考核、提出拟推荐名单等工作。其中“课程认定及成绩计算细则” 工作组(以下简称工作组)人员组成如下:
组长:张建国 韩姗杉
成员:马天宝 宫久路 张晓伟 任慧 隋丽 刘振翼 李辉 王强 徐路平
2022年8月,根据教务部提供的学生成绩基础数据,学院完成学生课程成绩的计算。
三、各专业细则
350vip8888新葡的京集团2019级各专业培养方案均未涉及多线路培养,此细则适用于2019级350vip8888新葡的京集团所有专业本科生,具体为:弹药工程与爆炸技术、武器系统与工程、特种能源技术与工程、安全工程、探测制导与控制技术、机械电子工程、工程力学、机械电子工程(全英文教学)八个专业。
(一)课程范围认定
原则上前6个学期的所有课程均应计算在内,包括必修课、选修课、校公选课。
(二)成绩计算方法
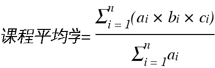
根据认定的课程范围,学院“课程认定及成绩计算细则”工作组负责具体计算学生的课程平均学分绩。计算公式:

其中:
为某门课程学分,
为某门课程成绩(百分制),
为某门课程成绩系数,
为课程序数(=1,2,3……)。
成绩折算:课程成绩评定为优、良、中、及格、不及格时,分别折算为95分、85分、75分、65分、0分计算平均学分绩;
有效课程:纳入计算的课程均取第一次正常考试成绩参与计算;必修课、选修课不及格成绩按0分计算;国家大学英语四级成绩不参与计算;校公选课不及格成绩不参与计算;学生参加交流学习期间所获得的学分不参与计算。
值得注意的是,对于转专业、复学等学生,成绩计算所包含课程以现学专业现行培养方案为准;可替换课程的成绩作为有效成绩(多门课程替换一门的,以多门课程成绩平均值作为计算成绩);没有可替换课程并且还未修该课程的成绩按0学分计算。对于留降级同学,所有课程均取第一次正常考试成绩计算。特殊情况需要学院“课程认定及成绩计算细则”工作组进一步认定,认定为能进行课程替换掉的成绩参与平均学分绩的计算,认定为不能进行课程替换的成绩不参与平均学分绩的计算。
课程成绩系数:机电学院2019级各专业培养方案中均未涉及多线路培养,课程成绩系数均为1。
该课程平均学分绩计算方法仅在2023年推免工作中使用。
四、公示
公示方式:350vip8888新葡的京集团官方网站(http:/)
公示时间:2022年8月25日-2022年8月31日(不少于5个工作日)
五、申诉
对“课程认定及成绩计算细则”有异议者,可在学院公示期内向本学院“课程认定及成绩计算细则”工作组提出书面申诉,工作组将及时研究并予以答复。
联系邮箱:7220220005@bit.edu.cn
联系电话:68914150
350vip8888新葡的京集团
2022年8月25日